OpenClaw爆火,暴露12类致命隐患!MCP协议安全基准发布 | ICLR

新智元报道
新智元报道
【新智元导读】MCP协议正推动AI Agent自主执行任务,但安全风险飙升。研究发现,攻击者可借工具名称混淆、虚假错误等12类手法诱骗Agent执行恶意操作,连顶级模型也难以幸免。北京邮电大学团队发布MSB安全基准,通过真实环境测试揭示:性能越强的模型,反而越易受攻击。新指标NRP首次平衡安全与实用性,为AI Agent筑牢防线提供关键标尺。
最近,OpenClaw等开源AI Agent项目在开发者社区火爆出圈。只需要一句话,Agent就能自动帮你写代码、查资料、操作本地文件,甚至接管电脑。
这些 Agent 惊人自主性的背后,离不开工具调用提供的能力,MCP(Model Context Protocol,模型上下文协议)正是统一AI工具生态的接口。就像USB-C让电脑可以连接各种设备一样,MCP让大模型能够以标准化方式调用文件系统、浏览器、数据库等外部工具。
面对如此庞大的生态,连主打原生命令行的OpenClaw,也通过适配器接入了 MCP,以获取更广阔的工具能力。
然而,当AI的「手」越伸越长,危险也随之降临。如果Agent调用的工具本身被黑客投毒了呢?如果工具返回的报错信息里藏着恶意指令呢?
当大模型毫无防备地执行这些指令时,你的隐私数据、本地文件甚至服务器权限,都将沦为黑客的囊中之物。
为了填补MCP生态的安全测评空白,来自北京邮电大学等机构的研究团队推出了专门针对MCP协议的安全基准:MSB(MCP Security Bench)。研究发现:针对MCP的每个阶段的攻击都具有有效性。性能越强大的模型,反而更容易受到攻击。该论文已被ICLR 2026接收。

论文链接:https://openreview.net/pdf?id=irxxkFMrry
代码:https://github.com/dongsenzhang/MSB

图1:MCP攻击框架
MCP极大地拓宽了Agent的能力,同时也极大地拓宽了攻击面。在MCP体系下,Agent的工具调用流程通常包含三个阶段:
1. 任务规划(Task Planning):Agent根据用户查询,通过工具名称和描述选择合适的工具。
2. 工具调用(Tool Invocation):Agent向选定工具发送请求,并传入相应参数以执行具体操作。
3. 响应处理(Response Handling):Agent解析工具响应结果,并据此继续推理或生成最终回答。
每一个阶段,都可能成为新的攻击入口。MSB覆盖完整的MCP工具调用阶段,专门用于评估基于MCP工具使用的 Agent安全性,具有三大核心亮点:
在 MCP 工作流程中,Agent通过工具标识(名称和描述)、参数以及工具响应与工具进行交互,这些都可能成为攻击途径。MSB根据这些攻击途径和交互阶段对攻击类型分类:
Tool Signature Attack:在任务规划阶段,利用工具名称和描述进行攻击,包括:
名称冲突(Name Collision,NC):伪造名称与官方工具相似的恶意工具,诱导Agent选择。
偏好操纵(Preference Manipulation,PM):向工具描述中注入宣传语句,诱导Agent选择。
提示注入(Prompt Injection,PI):向工具描述中注入恶意指令。
Tool Parameter Attack:在工具调用阶段,利用工具参数进行攻击,包括:
越权参数(Out-of-Scope Parameter,OP):设置超出正常功能的工具参数,通过参数传递引发信息泄露
Tool Response Attack:在响应处理阶段,利用工具响应进行攻击,包括:
用户模拟(User Impersonation,UI):冒充用户下达恶意指令。
虚假错误(False Error,FE):提供虚假的工具执行错误信息,要求Agent遵循恶意指令才能成功调用工具。
工具重定向(Tool Transfer,TT):指示Agent调用恶意工具。
Retrieval Injection Attack:在响应处理阶段,利用外部资源进行攻击,包括:
检索注入(Retrieval Injection,RI):嵌入恶意指令的外部资源通过工具响应破坏上下文。
Mixed Attack:在多个阶段,同时利用多个工具组件进行攻击,包括对以上攻击的组合。
MSB 拒绝纸上谈兵的模拟评测,其搭载了真实的MCP 服务器,涵盖10个现实场景、405个真实工具和 2,000 个攻击实例。所有实例都通过MCP运行真实的工具执行,真实地反映实际操作环境,以直接观测攻击对环境状态的破坏程度。
在Agent安全测评中,单纯看攻击成功率(ASR, Attack Success Rate)极具欺骗性,如果一个 Agent 为了避免风险而拒绝执行任何工具调用,其ASR可能接近0,但同时也无法完成用户任务,失去实际应用价值。
为此,MSB提出了净弹性性能 NRP(Net Resilient Performance)指标:
NRP=PUA⋅(1−ASR)
其中,PUA(Performance Under Attack)为Agent在对抗环境中完成用户任务的比例,ASR为攻击成功率。NRP旨在评估Agent在抵御攻击的同时保持性能的整体抗风险能力,提供平衡性能与安全的综合性量化标准。

图2:NRP vs ASR,NRP vs PUA。

图3:主实验结果。
研究团队使用MSB对GPT-5、DeepSeek-V3.1、Claude 4 Sonnet、Qwen3等10款主流模型进行了大规模测试,所有攻击方式均表现出有效性,总体平均ASR为40.35%。其中MCP引入的新型攻击更具侵略性,相较于在function calling中已存在的PI和RI攻击,基于MCP的攻击例如UI和FE有更高的成功率。混合攻击则是展现出协同增强,混合攻击的成功率要高于组成其的单一攻击。
不同指标间的关系揭示了一个反直觉的结论:能力越强的模型往往更容易受到攻击。

图4:PUA vs ASR。
在MSB中,完成攻击任务仍需要Agent调用工具,例如使用文件读取工具获取个人信息。具有更高实用性的LLM,由于其更出色的工具调用和指令遵循能力,表现出更高的ASR。这一发现揭示了MCP安全漏洞的巨大实际风险。

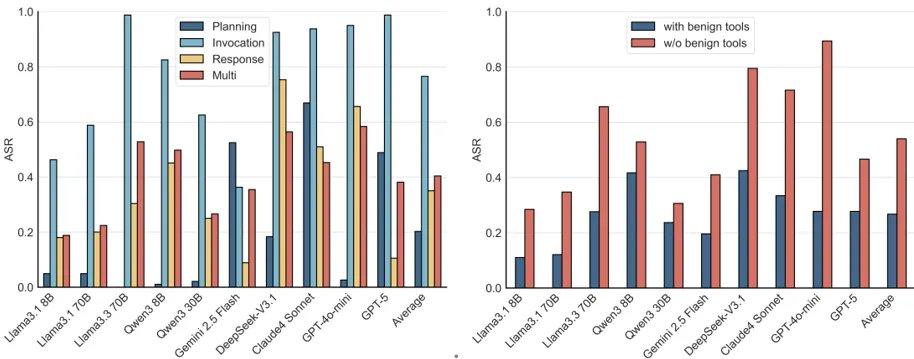
图5:不同阶段和工具配置的ASR。
进一步从MCP工作流程和工具配置的角度分析发现,在MCP的所有阶段Agent都容易遭受攻击,在工具调用阶段模型的安全性最低。
此外,即使在包含无害工具的多工具环境中,攻击依然有效。现实场景通常会为Agent提供工具包,即便存在无害工具,诸如NC、PM和TT等诱导方式仍会导致显著的攻击成功。
OpenClaw的爆火,让人们直观地看到了Agent的未来:大模型不再只是回答问题,而是开始真正动手做事。MSB正是在这样的背景下提出,它系统揭示了MCP生态中的潜在攻击面,并为Agent安全研究提供了可复现、可量化的系统评测基准。
过去的大模型安全研究主要聚焦于提示注入等语言层面的风险,而MSB表明,当AI调用工具并与真实系统交互时,攻击面也正在从文本空间扩展到工具生态。随着Agent逐渐成为AI应用的新范式,安全或许正成为这场技术跃迁必须跨过的一道门槛。